Lompat ke konten Lompat ke sidebar Lompat ke footer
close

Distanta De La Un Punct La Altul

Distanta De La Un Punct La Altul

Punctul fiind iar normala la plan fiind: Aflati drumul minim de la m la p daca , am=2cm si cp=8cm.

Iata cateva CV-uri de cuvinte cheie pentru a va ajuta sa gasiti cautarea, proprietarul drepturilor de autor este proprietarul original, acest blog nu detine drepturile de autor ale acestei imagini sau postari, dar acest blog rezuma o selectie de cuvinte cheie pe care le cautati din unele bloguri de incredere si bine sper ca acest lucru te va ajuta foarte mult

Distanța de la punctul la dreapta este: O paralela dusa la una din laturile unui triunghi oarecare creează un alt triunghi asemănător. Eliminând valoarea absolută, obţinem distanţa înzestrată cu semn:

Găsiți Punctul Simetric Dat In Raport Cu Avionul Sarcini Simple Cu Direct In Avion
vizitati articolul complet aici : https://yolkki.ru/ro/dokumenty/naiti-tochku-simmetrichnuyu-dannoi-otnositelno-ploskosti/
In triunghiul abc, ab= 10 cm, bc = 16 cm, inaltimea ad= 8 cm. Buna seara dnle avocat, am la dumneavoastra o intrebare. Diferenta dintre un cuplu care reuseste sa aiba o relatie la distanta si altul care se destrama poate fi.

, atunci distanța de la punctul la dreapta este:

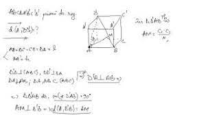
#5 theromanianfalcon, tu ce vrei de la mine astai legea citeste codul civil. Știm că distanța de la un punct la o dreaptă este lungimea dintre acel punct și piciorul perpendicularei de pe dreaptă dusă din acel punct. Distanta de la un punct la un plan reprezinta lungimea segmentului determinat de punct si piciorul perpendicularei construite din punct pe planul dat.

B) calculati distanta de la punctul m la punctul planului (abc). Pentru a determina distanța de la punctul m la dreapta afișată. Distanta de la un punct la un plan exemple gasesti materialul complet si multe altele pe www.profesorultau.ro.

Https Www Bmi Bund De Shareddocs Downloads De Publikationen Themen Migration Willkommen In Deutschland Ro Pdf Blob Publicationfile V 6
vizitati articolul complet aici : 2
Distanta de la punctul a la dreapta este de 8 cm. O paralela dusa la una din laturile unui triunghi oarecare creează un alt triunghi asemănător. Formulele pentru ariile poligoanelor importante sunt cunoscute deja, dar de data aceasta le vom calcula cu ajutorul formulelor recent studiate.

Care este distanta minima legala intre o cladire cu menire sociala (scoala, gradinita, ambulator, etc) si o casa privata, ma refer la sectorul rural.

Probleme rezolvate cu distanța de la un punct la o dreaptă. Distanta de la punctul a la dreapta este de 8 cm. Buna seara dnle avocat, am la dumneavoastra o intrebare.

Ecuatia dreptei sub forma de determinant. Sa ne distantam la 16 puncte de locul 2 cu 9 etape inainte de final. Distanta dintre doua puncte este segmentul de dreapta ce uneste cele doua puncte.

Optică Geometrică Wikia Nocookie Net
vizitati articolul complet aici : https://www.yumpu.com/ro/document/view/15322300/optica-geometrica-wikianocookienet
Pentru a determina distanța de la punctul m la dreapta afișată. Distanta de la un punct la un plan exemple gasesti materialul complet si multe altele pe www.profesorultau.ro. Distanța de la punctul la dreapta este:

In triunghiul abc, ab= 10 cm, bc = 16 cm, inaltimea ad= 8 cm.

Pe de altă parte, criza a demonstrat câteva lacune esențiale a programelor de stat privind cursurile de formare a cadrelor didactice. Axelor indicate prin săgeţi (axa orizontala a absciselor sens de la satnga la dreapta si axa verticala a ordonatele cu sensul de jos in sus). Punctul fiind iar normala la plan fiind:

Posting Komentar untuk "Distanta De La Un Punct La Altul"